卫星信号积分问题初探
最近阅读被动微波天线信号积分时,亲自画了一张图像,展示立体角微分表达式的推导场景:



但是,由于卫星在积分时段内T内是移动的,有效视场EFOV必须是瞬时视场的时间积分,并且瞬时视场是时间的函数。
那么序号为i的EFOV时刻积分区间[ti-T/2,ti+T/2],有效天线温度为:

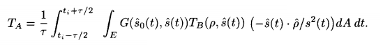
虽然随着卫星移动和扫描,TB的采样位置会随时间变化,但是在极短的积分时间内(<8ms),可以近视忽略亮温场的变化。
那么在ti的TA可以表示为等效的天线增益图案和一个近视不变EFOV内亮温场的积分:


按照Backus-Gilbert,Stogryn等人的处理思路,观测Resample过程中,粗分辨率的重建信号和内部多个i序号的高分辨率观测的关系应该是一个线性平均问题:
使用一组权重系数对信号进行重建,权重系数的约束条件为:
NSIDC0630 ATBD
In generating gridded data, only measurements from a single sensor and channel are processed. Measurements have different azimuth and incidence angles (though the incidence angle variation is small).
Measurements from multiple orbit passes over a narrow local time may be combined.
When multiple measurements are combined, the resulting images represent a non-linear weighted average of the measurements over the averaging period.
There is an implicit assumption that the surface characteristics remain constant over the imaging period and that there is no azimuth variation in the true surface TB.






